es fundamental para entender las variaciones individuales en la respuesta a los medicamentos. Estos transportadores, proteínas especializadas...
Farmacogenómica
La educación del paciente sobre pruebas farmacogenéticas es un componente fundamental para optimizar el tratamiento médico personalizado....
La farmacogenómica representa un avance revolucionario en la medicina personalizada, al permitir tratamientos adaptados al perfil genético...
La farmacogenómica en el tratamiento del cáncer colorrectal representa un avance revolucionario en la oncología personalizada, permitiendo...
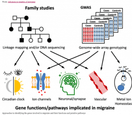
La migraña es un trastorno neurológico complejo que afecta a millones de personas en todo el mundo,...
La es un recurso fundamental para profesionales de la salud que buscan implementar recomendaciones basadas en evidencia...
La farmacogenómica está revolucionando el tratamiento de la deshabituación de opioides al personalizar las terapias según el...
La variabilidad genética en los receptores de fármacos es un aspecto crítico en la farmacología moderna, ya...
La representa un campo emergente en la medicina personalizada, donde se estudia cómo la variabilidad genética influye...
es fundamental para comprender cómo los fármacos interactúan a nivel celular. Estos proteínas especializadas regulan el paso...